Problemas-ejemplo-entalpias.pdf

Henry_08

Ejercicios y Problemas

8 archivos·

Resumen-formulas.pdf

2 páginas

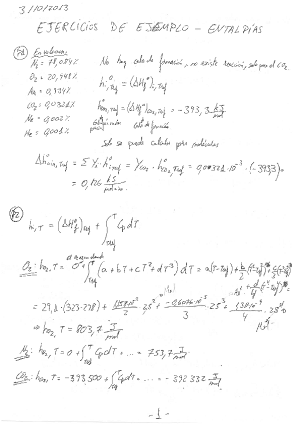
Problemas-ejemplo-entalpias.pdf

29 páginas

Problemas-24-49.pdf

51 páginas

Resumen-formulas-2.pdf

3 páginas

Relacion-de-problemas-RQ1.pdf

11 páginas

Ejercicios-de-entalpia.pdf

1 página

Problemas-1-22.pdf

27 páginas

Solucion-problema-48.pdf

1 página

content_copy

Archivos recomendados