Henry_08
Ejercicios y Problemas
Resumen-formulas.pdf
2 páginas
Problemas-ejemplo-entalpias.pdf
29 páginas
Problemas-24-49.pdf
51 páginas
Resumen-formulas-2.pdf
3 páginas
Relacion-de-problemas-RQ1.pdf
11 páginas
Ejercicios-de-entalpia.pdf
1 página
Problemas-1-22.pdf
27 páginas
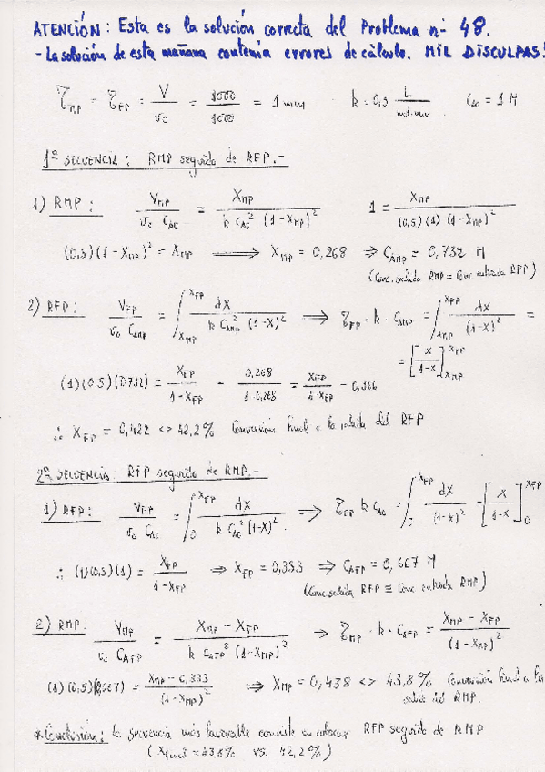
Solucion-problema-48.pdf
Exámenes - Problemas-de-examen.pdf
pdf
12 páginas
19
0
Otros - INTEGRALES-UTILES-EN-R.pdf
2
Apuntes - Tema-4.pdf
35 páginas
4
Ejercicios - Problemas-1-22.pdf
Ejercicios - Problemas-24-49.pdf
Ejercicios - Resumen-formulas.pdf
Apuntes - Tema-7.pdf
15 páginas
Apuntes - Tema-5.pdf
31 páginas
Ejercicios - Solucion-problema-48.pdf
1
Ejercicios - Relacion-de-problemas-RQ1.pdf
5
Apuntes - Resumen-Tema-1.pdf
8 páginas
Apuntes - Tema-1.pdf
3
Apuntes - Tema-2.pdf
13 páginas
Apuntes - Tema-6.pdf
30 páginas
Apuntes - Tema-3.pdf
18 páginas
Otros - graficoTema-7.pdf
Ejercicios - Ejercicios-de-entalpia.pdf
Ejercicios - Resumen-formulas-2.pdf
Ejercicios - Problemas-ejemplo-entalpias.pdf
Otros - Balance-entalpico-para-reactores-Adiabaticos.pdf