J_L_Abascal
Informes todas las practicas con excel (nota: 10)
Campo Magnético.doc
CampoMagnético.xls
Determinación de Índices de Refracción.doc
reflexion y refraccion.doc
Refracción aire-vidrio.xls
Refracción vidrio-aire.xls
Tabla prisma.xls
Determinación de la Densidad de un Sólido.doc
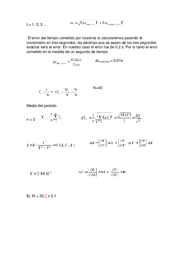
Péndulo de Torsión.doc
Pendulo.xls
Errores Pendulo.doc
Ejercicios - problemas_todos_cuatri.pdf
pdf
71 páginas
446
0
Prácticas - Campo Magnético.doc
doc
71
Prácticas - PENDULO-SIMPLE.xlsx
xlsx
29
Exámenes - SegParcial_5Jun2015_Sol_v1.pdf
3 páginas
425
2
Prácticas - ondas estacionarias.docx
docx
23
Ejercicios - Prob_Tema4-WyE_Resueltos (2).docx
Apuntes - EXAMEN-LABORATORIO-FISICA.pdf
587
4
Ejercicios - Prob_Tema3-Dinámica_Resueltos (1).docx
Apuntes - 5. Sistema de partículas (I).pdf
6 páginas
232
Prácticas - Informe práctica 4 péndulo simple.docx
7
Prácticas - InformeFisica(IndiceDeRefraccion).pdf
5 páginas
271
Apuntes - 4. Trabajo y energía.pdf
9 páginas
Apuntes - FISICA-PRIMER-CUATRI.pdf
7 páginas
256
Apuntes - 1. Sistema de unidades y vectores.pdf
300
Exámenes - solucionesFebrero.pdf
0 páginas
195
Apuntes - 2. Cinemática.pdf
4 páginas
255
1
Exámenes - Examen física 29-01-2014.pdf
236
Prácticas - Informe práctica 2 Campos magnéticos.docx
6
Exámenes - FinalSegParcial_26Jun15_Sol_v3.pdf
2 páginas
Apuntes - 3. Dinámica.pdf
220